Intercollegiate Rocket Engineering Competition
BYU IREC 2017 Team with our rocket “Kevin”Co-founded the BYU Rocketry Club; now 60+ members including a university-funded capstone team.
Competed in IREC 2017 as avionics lead, achieved 95% of target apogee in competition launch.
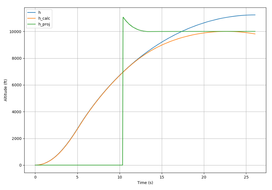
Created Python simulation to model active guidance of rocket to a target apogee using airbrake system, gathered wind-tunnel data to improve modelling.
Managed communication between team and faculty; ensured all project milestones were met on time.


